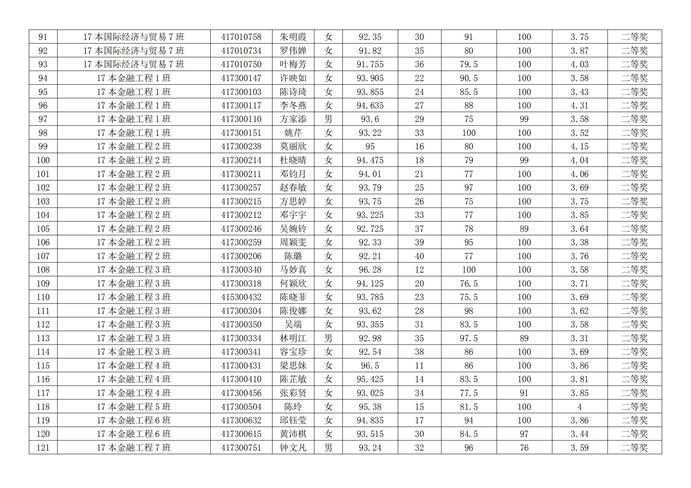
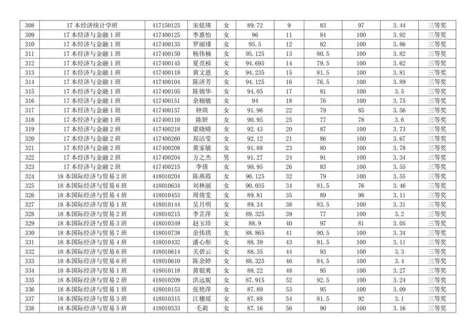
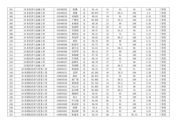
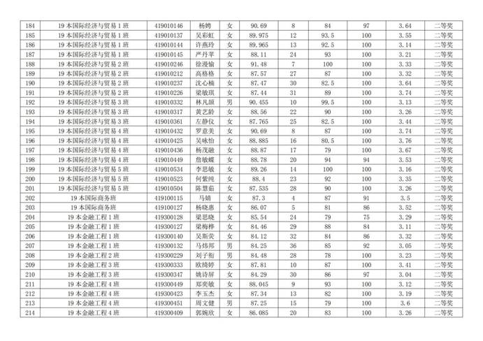
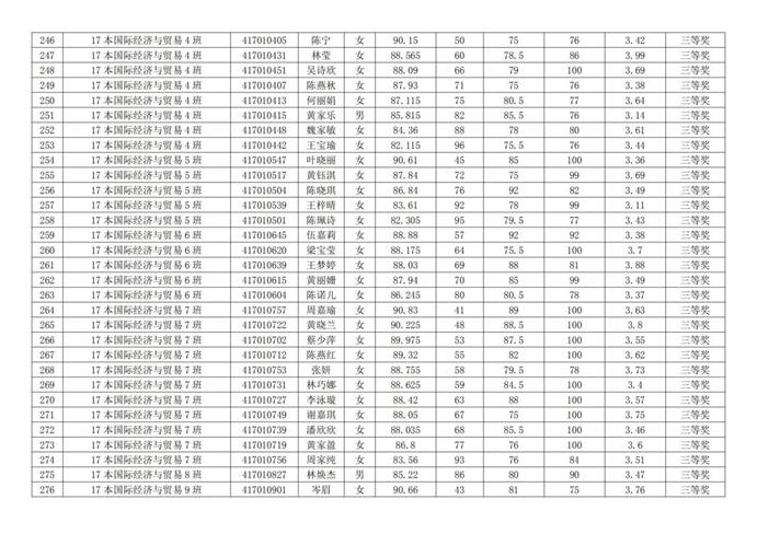
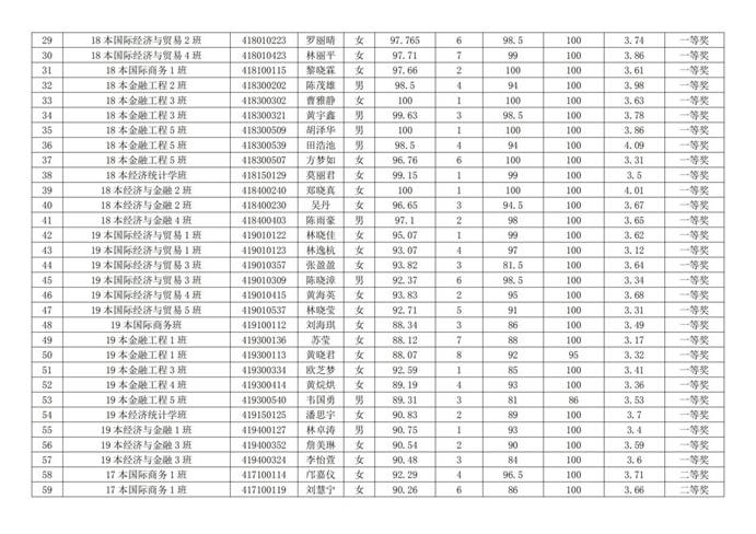
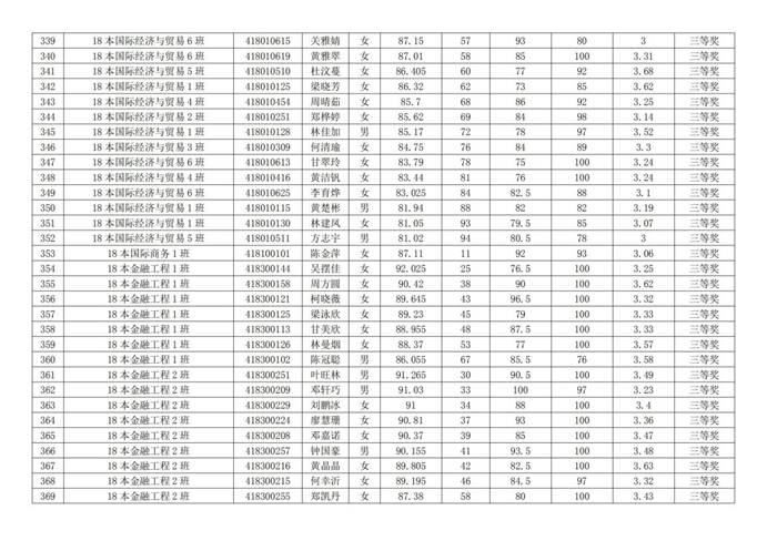
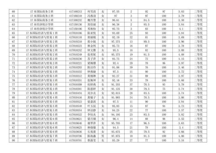
根据华商学院《关于2019-2020学年学生综合测评和优秀生评选工作的通知》文件内容,我系本着“公开、公正、公平、择优”的原则,认真组织2019-2020学年优秀生评选工作。经学生自主申请,班级评议、辅导员评审,我系决定拟推荐余楚君等458名学生为优秀生。现将经济与金融系2019-2020学年综合测评优秀生名单公示如下:
对评选结果有异议者,可于公示期间内通过电话等形式反映,反映情况和问题必须实事求是,对评选有异议的同学由我系进行调查后审定,并对提出异议的个人给予保密。
公示时间:2020年10月20日—2020年10月27日
受理电话:020-82666613
广东财经大学华商学院
经济与金融系
2020年10月19日
上一条:喜报 || 经济与金融系2020级新生军训优秀标兵表彰名单 下一条:走进学生,倾听心声 || 经济管理学院召开2020—2021学年第一学期学生座谈会
【关闭】
1946伟德国际源自英国数字伟德国际VICTOR1946
Digital Finance Academy, Guangzhou Huashang College
邮箱:hsszjrxy@gdhsc.edu.cn
Copyright © bevictor·伟德国际(源自英国1946)官方网站-Officials Website 版权所有 ICP备案号:粤ICP备17051289号 粤公网安备 44011802000240号